Solved Math in Bengali Exam (17)
1৷ 40 এর নিকটতম মৌলিক সংখ্যার বৃহত্তম গুণনয়ক কোনটি ?
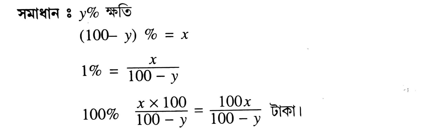
2৷ কোন বস্তু x টাকায় বিক্রি করে y% ক্ষতি হয় । বস্তুর ক্রয়মূল্য কত ?
3৷ ক্রয়মূল্যের উপর 20% লাভ হলে, বিক্রয়মূল্যের উপর শতকরা লাভ কত ?
4৷ চার বছরে মোট সুদ আসলের 8/11 অংশ। সুদের হার কত ?

2৷ কোন বস্তু x টাকায় বিক্রি করে y% ক্ষতি হয় । বস্তুর ক্রয়মূল্য কত ?

3৷ ক্রয়মূল্যের উপর 20% লাভ হলে, বিক্রয়মূল্যের উপর শতকরা লাভ কত ?

4৷ চার বছরে মোট সুদ আসলের 8/11 অংশ। সুদের হার কত ?

অনলাইন মকটেস্ট দিতে - ক্লিক করুন